1. NGUYÊN LÝ
- Mẫu thử được khử protein bằng dung dịch acid sulfosalicylic (SSA) chứa nội chuẩn norvaline (Nva). Phương pháp phân tích acid amin bao gồm các giai đoạn sau:
o Kiềm hoá mẫu chuẩn, mẫu thử, mẫu trắng (blank) đã được khử tạp bởi SSA bằng dung dịch NaOH/ borat.
o Phản ứng tạo dẫn xuất:
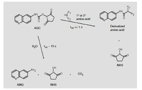
- Dẫn xuất hoá các acid amin trong mẫu thử bằng AQC (6-aminoquinolyl-N- hydroxysuccinimidyl carbamate) để chuyển các acid amin bậc một và bậc hai thành các chất có thể phát hiện được bằng đầu dò cực tím (UV).
- Phản ứng tạo dẫn xuất hoàn toàn đòi hỏi một lượng dư số mol AQC. Lượng dư này sẽ bị thủy phân thành sản phẩm phụ là 6-aminoquinoline (AMQ), N-hydroxysuccinimide (NSH) và CO2, những sản phẩm phụ này không gây cản trở cho quá trình phân tích. Riêng AMQ sẽ tạo ra một peak có ý nghĩa và dễ dàng nhận biết được. Phản ứng thủy phân này xảy ra chậm hơn so với phản ứng tạo dẫn xuất.
- Lưu ý: Creatinin không được dẫn xuất bởi thuốc thử AMQ nên sẽ không xuất hiện peak sắc ký đối với creatinin. Riêng urê sẽ được dẫn xuất kép (do cấu tạo phân tử đặc biệt) để tạo nên dẫn xuất urê đối xứng. Peak của urê sẽ được đánh dấu bằng chữ “Derivation Peak” trên sắc ký đồ.
- Phân tách các dẫn xuất AQC của acid amin bằng phương pháp UPLC, định lượng bằng đầu dò TUV.

* Phản ứng tạo dẫn xuất
- Hệ thống UPLC ứng dụng trong phân tích acid amin có đặc điểm: sử dụng áp suất cao chạy trên các cột phân tích có kích thước tiểu phần 1,7µm, đường kính cột 2,1mm, chiều dài cột 150mm. Hệ thống cho phép phát hiện và định lượng 42 loại acid amin phổ biến và các hợp chất có liên quan với tốc độ 45 phút/ mẫu. Thời gian phân tích được rút ngắn trong khi độ nhạy, độ đặc hiệu và hiệu năng phân tách được cải thiện là ưu điểm của hệ thống UPLC so với các phương pháp khác.
2. CHUẨN BỊ
2.1. Người thực hiện
Người thực hiện kỹ thuật có trình độ phù hợp
2.2. Phương tiện, hóa chất
2.2.1. Phương tiện:
o ACQUITY UPLC System: Hệ thống bao gồm:
■ Hệ thống bơm cao áp và quản lý dung môi
■ Bộ quản lý dung môi bốn dòng dung môi
■ Bộ quản lý mẫu với Flow Through Needle
■ Bộ ổn nhiệt cho cột với bộ tiền làm nóng linh hoạt
■ Khay chứa dung môi
■ Bộ kít hoạt động cho máy
■ Các sensors phát hiện rò rỉ
■ Detector
■ Phần mềm điều khiển, máy tính, máy in
■ Bộ phụ kiện cho chuẩn bị mẫu

Hình: Sơ đồ hệ thống UPLC
o Máy li tâm thường và ly tâm tốc độ cao.
o Máy lắc.
o Tủ ấm.
o Máy rửa dụng cụ bằng sóng siêu âm.
o Bộ lọc dung môi.
o Cột sắc ký: cột phân tích có kích thước tiểu phần 1,7µm, đường kính cột 2,1mm, chiều dài cột 150mm.
o Giấy lọc với kích thước lọc 0,2 µm.
2.2.2. Hóa chất
tất cả các dung dịch và hóa chất sử dụng cho hệ thống đều phải là chuẩn HPLC hoặc tốt hơn.
Acetonitrile đậm đặc.
Nước cất Methanol đậm đặc
Acid fomic đậm đặc
MasTrak AAA standards (bộ kít chuẩn): gồm có
- Các amino acid tan trong acid.
- Các amino acid tan trong base.
- allo-Isoleucine
- Glutamine
- Norvaline
- Tryptophan
MasTrak AAA eluent A: thành phần 8-10% acetonitrile, 4-6% formic acid, 84-88% ammonium acetate/water solution.
MasTrak AAA derivatization kit: bộ kít tạo dẫn xuất gồm có
- Borate buffer: <5% sodium tetraborate and >95% water
- Reagent powder (2A): 6-aminoquinolyl-N-hydroxy-succinimidyl carbamate (AQC)
- Reagent diluents (2B): acetonitrile
2.3. Người bệnh
Cần giải thích cho người bệnh và người nhà người bệnh hiểu về mục đích của việc lấy máu làm xét nghiệm.
2.4. Phiếu xét nghiệm
- Phiếu xét nghiệm theo đúng quy định của Bộ Y tế và bệnh viện.
- Trên phiếu xét nghiệm cần ghi đầy đủ thông tin của người bệnh: họ và tên, tuổi, giới tính, số giường, khoa phòng, chẩn đoán, xét nghiệm cần làm.
- Trên phiếu xét nghiệm cần có: chữ ký và họ tên bác sĩ chỉ định xét nghiệm, họ tên người lấy mẫu, thời gian chỉ định xét nghiệm và thời gian lấy mẫu bệnh phẩm.
3. CÁC BƯỚC TIẾN HÀNH
3.1. Lấy bệnh phẩm
Huyết tương, nước tiểu và dịch não tủy là mẫu bệnh phẩm sử dụng cho xét nghiệm này.
- Thu thập, xử lý và bảo quản mẫu máu:Máu toàn phần tĩnh mạch được thu thập vào ống chống đông bằng heparin với thể tích tối thiểu là 1 mL, tối đa là 2 mL. Sau khi thu thập, mẫu được vận chuyển ngay tới phòng xét nghiệm. Tiến hành ly tâm ngay sau khi nhận mẫu với tốc độ 3000 vòng/phút trong 5 phút, tách huyết tương và bảo quản ở -20oC cho đến khi phân tích. Bệnh phẩm chỉ tan đông 1 lần và phải để bệnh phẩm đạt nhiệt độ phòng trước khi phân tích. Trộn kỹ bệnh phẩm sau khi rã đông.
- Thu thập, xử lý và bảo quản nước tiểu: Nước tiểu ngẫu nhiên được thu thập vào các ống đựng bệnh phẩm sạch, không có chất bảo quản. Thể tích tối thiểu là 2 mL. Vận chuyển ngay tới phòng xét nghiệm, ly tâm với tốc độ 3000 vòng/phút trong 5 phút, chắt dịch trong và bảo quản ở -20oC cho đến khi phân tích. Một phần nước tiểu được sử dụng để định lượng
- Thu thập, xử lý và bảo quản dịch não tủy: Dịch não tủy được thu thập vào các ống đựng bệnh phẩm sạch, không có chất bảo quản. Thể tích tối thiểu là 0,5 ml. Vận chuyển ngay tới phòng xét nghiệm, ly tâm với tốc độ 3000 vòng/phút trong 5 phút, chắt dịch trong và bảo quản ở -20oC cho đến khi phân tích.
- Mẫu huyết tương/ nước tiểu từ ngoài bệnh viện cần phải bảo quản đông lạnh.
3.2. Tiến hành kỹ thuật
- Máy phân tích cần chuẩn bị sẵn sàng để thực hiện phân tích mẫu: máy đã được cài đặt chương trình xét nghiệm định lượng IgE đặc hiệu Alpha-lactalbumin máu. Máy đã được chuẩn với xét nghiệm IgE đặc hiệu Alpha-lactalbumin. Kết quả kiểm tra chất lượng với xét nghiệm IgE đặc hiệu Alpha-lactalbumin đạt yêu cầu, không nằm ngoài dải cho phép và không vi phạm luật kiểm tra chất lượng.
- Người thực hiện phân tích mẫu nhập dữ liệu về thông tin người bệnh và chỉ định xét nghiệm vào máy phân tích hoặc hệ thống mạng (nếu có)
- Thực hiện xét nghiệm theo protocol của máy.
4. NHẬN ĐỊNH KẾT QUẢ
Khoảng tham chiếu
Bảng 1. Khoảng tham chiếu của acid amin huyết tương (đơn vị: umol/L):
Acid amin | Kết quả thông báo | 0-1 tháng | 1-24 tháng | 2-18 tuổi | >18 tuổi |
Alanine | Có | 131-710 | 143-439 | 152-547 | 177-583 |
Allo-isoleucine | Không | 0-5 | 0-5 | 0-5 | 0-5 |
Alpha-aminoadipic acid | Không | 0-1 | 0-1 | 0-1 | 0-6 |
Alpha-aminobutyric acid | Không | 8-24 | 3-26 | 4-31 | 5-41 |
Arginine | Có | 6-140 | 12-133 | 10-140 | 15-128 |
Argininosuccinic acid | Có | 0-8 | 0-8 | 0-8 | 0-8 |
Asparagine | Có | 29-132 | 21-95 | 23-112 | 35-74 |
Aspartic acid | Có | 0-129 | 0-23 | 0-24 | 0-25 |
Beta-alanine | Không | 0-10 | 0-7 | 0-7 | 0-12 |
Citrulline | Có | 10-45 | 3-35 | 1-46 | 12-55 |
Cystathionine | Có | 0-3 | 0-5 | 0-3 | 0-3 |
Cystine | Có | 17-98 | 16-84 | 5-45 | 5-82 |
Ethanolamine | Không | 0-115 | 0-4 | 0-7 | 0-153 |
Glutamic acid | Có | 62-620 | 10-133 | 5-150 | 10-131 |
Glutamine | Có | 376-709 | 246-1182 | 254-823 | 205-756 |
Glycine | Có | 232-740 | 81-436 | 127-341 | 151-490 |
Histidine | Có | 30-138 | 41-101 | 41-125 | 41-125 |
Homocitrulline | Không | 0-15 | 0-8 | 0-8 | 0-8 |
Homocystine | Có | 0-1 | 0-1 | 0-5 | 0-1 |
Hydroxylysine | Không | 0-7 | 0-7 | 0-2 | 0-1 |
Isoleucine | Có | 26-91 | 31-86 | 22-107 | 30-108 |
Leucine | Có | 48-160 | 47-155 | 49-216 | 72-201 |
Lysine | Có | 92-325 | 52-196 | 48-284 | 48-284 |
Methionine | Có | 10-60 | 9-42 | 7-47 | 10-42 |
1-Methylhistidine | Không | 0-43 | 0-44 | 0-42 | 0-42 |
Ornithine | Có | 48-211 | 22-103 | 10-163 | 48-195 |
Phenylalanine | Có | 38-137 | 31-75 | 26-91 | 35-85 |
Phosphoethanolamine | Không | 0-27 | 0-6 | 0-69 | 0-40 |
Phosphoserine | Không | 0-47 | 0-20 | 0-30 | 0-14 |
Serine | Có | 99-395 | 71-186 | 69-187 | 58-181 |
Taurine | Không | 46-492 | 15-143 | 10-170 | 54-210 |
Threonine | Có | 90-329 | 24-174 | 35-226 | 60-225 |
Bảng 2. Khoảng tham chiếu của các acid amin niệu (đơn vị: umol/mmol creatinine)
(tham khảo bảng 1 các acid amin không thông báo kết quả)
Amino Acid | 0-1 tháng | 1-12 tháng | 1-3 năm | 3-8 năm | 8-16 năm | >16 năm |
Alanine | 34-358 | 27-313 | 12-185 | 15-97 | 12-67 | 10-57 |
Allo-isoleucine | 0-5 | 0-5 | 0-5 | 0-5 | 0-5 | 0-5 |
Alpha-aminoadipic acid | 7-96 | 7-110 | 7-93 | 10-74 | 6-45 | 3-36 |
Alpha-aminobutyric acid | 0-43 | 0-58 | 0-20 | 0-29 | 0-26 | 0-11 |
Arginine | 0-81 | 0-40 | 0-15 | 0-11 | 0-9 | 0-5 |
Argininosuccinic acid | 0-8 | 0-8 | 0-8 | 0-8 | 0-8 | 0-8 |
Asparagine | 15-223 | 18-197 | 19-79 | 13-73 | 10-86 | 11-56 |
Aspartic acid | 0-57 | 0-69 | 0-73 | 0-59 | 0-60 | 0-40 |
Beta-alanine | 0-41 | 0-38 | 0-27 | 0-18 | 0-9 | 0-11 |
Citrulline | 0-18 | 0-46 | 0-29 | 0-23 | 0-17 | 0-15 |
Cystathionine | 0-26 | 0-11 | 0-29 | 0-21 | 0-13 | 0-4 |
Cystine | 5-109 | 2-42 | 1-23 | 1-20 | 1-17 | 0-21 |
Ethanolamine | 33-253 | 57-221 | 37-144 | 26-111 | 26-111 | 11-88 |
Glutamic acid | 0-96 | 0-102 | 0-89 | 0-53 | 0-44 | 0-47 |
Glutamine | 37-600 | 63-446 | 57-205 | 45-165 | 33-125 | 20-92 |
Glycine | 127-2042 | 133-894 | 103-404 | 100-280 | 83-254 | 37-371 |
Histidine | 23-676 | 69-392 | 57-262 | 61-259 | 43-211 | 21-164 |
Homocitrulline | 0-25 | 0-20 | 0-20 | 0-20 | 0-20 | 0-20 |
Homocystine | 0-5 | 0-5 | 0-5 | 0-5 | 0-5 | 0-5 |
Hydroxylysine | 0-49 | 0-50 | 0-14 | 0-7 | 0-15 | 0-4 |
Isoleucine | 0-37 | 0-21 | 0-12 | 0-7 | 0-8 | 0-7 |
Leucine | 4-84 | 4-72 | 3-45 | 3-22 | 3-17 | 3-10 |
Lysine | 6-464 | 4-80 | 4-37 | 5-51 | 1-65 | 2-63 |
Methionine | 0-24 | 0-18 | 0-12 | 0-8 | 0-10 | 0-7 |
1-Methylhistidine | 0-78 | 0-98 | 2-242 | 4-359 | 3-362 | 2-290 |
Ornithine | 0-37 | 0-19 | 0-15 | 0-8 | 0-5 | 0-4 |
Phenylalanine | 2-49 | 7-42 | 4-33 | 5-25 | 2-26 | 2-13 |
Phosphoethanolamine | 0-167 | 0-216 | 0-225 | 0-195 | 0-177 | 0-325 |
Phosphoserine | NA | NA | NA | NA | NA | NA |
Serine | 48-509 | 34-329 | 46-143 | 40-94 | 28-94 | 15-85 |
Taurine | 12-1057 | 10-809 | 6-267 | 7-264 | 28-268 | 13-534 |
Threonine | 9-337 | 12-145 | 7-73 | 10-67 | 10-48 | 4-48 |
Tryptophan | 1-46 | 3-37 | 2-29 | 2-27 | 2-27 | 2-12 |
Tyrosine | 5-74 | 12-64 | 8-38 | 8-32 | 5-30 | 4-21 |
Bảng 3. Khoảng tham chiếu của acid amin dịch não tuỷ
(Đơn vị: umol/L.)
Amino Acid | 0-12 tháng | 1-18 năm | >18 năm |
Alanine | 15-60 | 12-41 | 12-48 |
Alpha-aminoadipic acid | 0-1 | 0-1 | 0-1 |
Alpha-aminobutyric acid | 1-5 | 1-5 | 0-8 |
Arginine | 7-40 | 13-31 | 13-35 |
Asparagine | 3-37 | 3-16 | 0-18 |
Aspartic acid | 0-17 | 0-11 | 0-5 |
Citrulline | 0-9 | 0-8 | 0-6 |
Cystine | 0-1 | 0-1 | 0-1 |
Ethanolamine | 3-32 | 9-26 | 9-26 |
Glutamic acid | 0-50 | 0-11 | 0-11 |
Glutamine | 231-940 | 352-824 | 284-680 |
Glycine | 3-19 | 3-8 | 2-14 |
Histidine | 7-38 | 9-30 | 11-25 |
Homocystine | 0-1 | 0-1 | 0-1 |
Isoleucine | 1-16 | 1-12 | 0-13 |
Leucine | 5-35 | 6-20 | 4-27 |
Lysine | 7-42 | 10-37 | 15-43 |
Methionine | 2-30 | 1-7 | 0-9 |
Ornithine | 2-21 | 2-19 | 2-9 |
Phenylalanine | 6-40 | 4-23 | 2-19 |
Phosphoserine | 3-7 | 3-7 | 3-7 |
Serine | 25-105 | 21-86 | 19-38 |
Taurine | 4-62 | 4-14 | 3-12 |
Threonine | 12-178 | 14-130 | 22-53 |
Tryptophan | 0-8 | 0-8 | 0-8 |
Tyrosine | 5-54 | 5-25 | 2-14 |
Valine | 7-48 | 9-29 | 5-38 |
Tỷ số glycine DNT/ huyết tương ở trẻ sơ sinh:
Tỷ số glycine DNT/ huyết tương:
0.012 - 0.040
Có rất nhiều bệnh chuyển hoá di truyền gây bất thường acid amin trong huyết tương và / hoặc nước tiểu, như bệnh cystin niệu (cystinuria), bệnh siro niệu (maple syrup urine disease), bệnh lý chu trình ure (urea cycle defects), tăng glycin máu không nhiễm keton (nonketotic hyperglycinemia), homocystin niệu và phenylceton niệu (phenylketonuria). Một số bệnh lý acid amin lành tính, tuy nhiên số khác lại gây ra các vấn đề sức khoẻ trầm trọng. Nếu phát hiện sớm và điều trị thích hợp, có thể cứu sống được người bệnh và các biến chứng có thể ngăn ngừa hoặc kiểm soát được.
Rất nhiều bệnh di truyền gây thiếu hụt các enzyme ảnh hưởng đến quá trình dị hoá acid amin, làm tăng một hoặc nhiều acid amin trong huyết tương. Khi nồng độ acid amin huyết tương tăng cao, có thể xuất hiện acid amin niệu (aminoaciduria).
Một số bệnh di truyền ảnh hưởng đến cơ chế tái hấp thu acid amin ở thận, gây amino acid niệu trong khi nồng độ các acid amin này trong huyết tương bình thường hoặc thấp. Nhiều yếu tố ảnh hưởng đến nồng độ các acid amin trong huyết tương và / hoặc trong nước tiểu, như nhịp ngày đêm, thức ăn/ dinh dưỡng ngoài đường tiêu hoá, trẻ đẻ non, bệnh gan hoặc thận, tác động của thuốc/ chất độc, và các tạp chất có trong mẫu do thu thập mẫu không đúng hay do quá trình khử protein. Bảng sau liệt kê danh sách theo trình tự alphabe của các acid amin về các bất thường có thể gặp.
Acid Amin | Bất thường |
Alanine | Tăng trong: ● Các trường hợp tăng lactate/pyruvate. ● Thứ phát trong nhiễm acid lactic ( lactic acidosis). ● Rối loạn tiên phát chuyển hoá pyruvate. ● Rối loạn chu trình ure (có tăng cả glutamine). ● Sử dụng valproate làm tăng alanine và glycine. |
Allo-isoleucine | Tăng trong MSUD (bệnh siro niệu) |
α-Aminoadipic acid | Tăng trong 2-ketoadipic acidemia (do thiếu 2-ketoadipic dehydrogenase). |
Arginine | ● Tăng trong argininemia (UCD do thiếu hụt arginase). ● Tăng trong nước tiểu trong chứng cystin niệu, ● Tăng trong nước tiểu trong chứng acid amin dibase niệu và không dung nạp protein chứa lysin (cystine không tăng). ● Tăng do truyền arginine. ● Tăng sau ăn dưa hấu ● Giảm do huyết tán hoặc nhiễm các tế bào máu trong huyết tương, do chuyển arginine thành ornithine bởi arginase hồng cầu. |
Argininosuccini c acid | ● Tăng trong argininosuccinic niệu (UCD do thiếu hụt argininosuccinase). ● Tăng trong nước tiểu trong citrullinemia type II. |
Asparagine | ● Có thể tăng trong giảm khử độc amoniac ●.Giảm bởi phân huỷ tự phát hay do vi khuẩn thành aspartic acid. |
Aspartic acid | ● Tăng trong nước tiểu trong dicarboxylic aminoaciduria. ● Tăng do phân huỷ asparagine bởi vi khuẩn hoặc tự phát. ● Tăng trong huyết tán hoặc nhiễm tế bào máu vào huyết tương |
Β-Alanine | ● Tăng trong bệnh tăng β-alanine máu (được cho là tổn thương quá trình trao đổi amin của β-alanine). ● Tăng trong nước tiểu sau khi ăn thịt, đặc biệt thịt gia cầm (1-methylhistidine, carnosine và anserine cũng tăng). ● Tăng do thuốc: sử dụng thuốc chống co giật g-vinyl-GABA (VigabatrinTM) có thể làm tăng β-alanine huyết tương, GABA và acid β-amino-isobutyric. |
Citrulline | Tăng trong: ● Citrullinemia (UCD do thiếu hụt argininosuccinate synthetase). ● Ứ mật trong gan sơ sinh do thiếu hụt citrin (NICCD). ● Không dung nạp protein chứa lysine (Lysinuric protein intolerance). ● Ăn dưa hấu. |
Cystathionine | Tăng trong: ● Cystathionin niệu tiên phát (Primary cystathioninuria) (thiếu g-cystathionase). ● Cystathionin niệu thứ phát (Secondary cystathioninuria) liên quan đến thiếu vitamin B6, nhiễm độc tuyến giáp, neuroblastoma và ung thư tế bào gan. |
Cystine | ● Tăng trong nước tiểu trong chứng cystin niệu (tổn thương quá trình vận chuyển cystine, ornithine, arginine và lysine), tạo sỏi cystine ở thận. |
Ethanolamine | ● Tăng trong bệnh gan. ● Ethanolamin niệu (Ethanolaminuria) có thể là dấu hiệu không đặc hiệu của bệnh thần kinh nặng |
Glutamic acid | ● Tăng trong nước tiểu trong dicarboxylic aminoaciduria. ● Tăng do phân huỷ glutamine ngẫu nhiên hoặc do vi khuẩn. ● Tăng trong huyết tán hoặc huyết tương bị nhiễm tế bào máu ● Tăng trong nước tiểu do nhiễm phân |
Glutamine | ● Tăng trong rối loạn chu trình urea (urea cycle disorders) cùng với tăng ammoniac huyết tương. ● Tăng trong hội chứng không dung nạp protein chứa lysine (lysinuric protein intolerance). ● Giảm do phân huỷ thành glutamic acid ngẫu nhiên hoặc do vi khuẩn. |
Glycine | Tăng trong ● Tăng glycin máu không nhiễm ceton (Nonketotic hyperglycinemia – còn gọi là bệnh não glycine, do tổn thương phức hợp enzyme thoái hoá glycine trong ty thể, tăng tỷ số glycine DNT/ huyết tương) ● Propionic acidemia. ● Methylmalonic acidemia. ● Sử dụng valproate (tăng glycine và alanine). Huyết tán hoặc huyết tương nhiễm tế bào máu Tăng trong nước tiểu trong: ● Tăng proline máu type I (do thiếu proline oxidase) and type II (có thể do thiếu pyrroline-5-carboxylate dehydrogenase). ● Iminoglycinuria (rối loạn vận chuyển qua màng lành tính) ● Nước tiểu nhiễm vi khuẩn (phân huỷ hippuric acid). |
Histidine | ● Tăng histidine máu (thiếu histidase). ● Tăng histidine trong nước tiểu (tổn thương vận chuyển histidine ở ruột/ thận). ● Tăng trong nước tiểu khi có thai. |
Homocitrulline | ● Tăng ornithine máu-tăng ammoniac máu- chứng homocitrulline niệu (hyperornithinemia- hyperammonemia- homocitrullinuria (hội chứng HHH, tổn thương có thể trong vận chuyển ornithine qua màng trong ty thể vào matrix) ● Tăng ở trẻ em dùng sữa công thức (nguyên nhân hay gặp nhất tăng trong nước tiểu). |
Homocystine | Tăng homocysteine máu do giảm hoạt tính Cystathionine - synthase (methionine huyết tương cũng tăng): ● Tổn thương cystathionine -synthase do di truyền. ● Dùng 6-Azauridine triacetate (an anti-psoriatic). ● Điều trị bằng Isoniazid (lao). Tăng homocysteine máu do giảm hoạt tính 5-methyltetrahydrofolate-homocysteine methyltransferase (methionine synthase) (methionine huyết tương bình thường hoặc thấp): ● Thiếu hụt Methylenetetrahydrofolate reductase. ● Tổn thương quá trình hấp thu hoặc chuyển hoá vitamin B12. ● Suy dinh dưỡng thiếu B12 hoặc folate. Tăng homocystine giả tạo: ● Cystathionine niệu (chuyển cystathionine thành homocystine do vi khuẩn). Tăng homocysteine giả tạo trong máu toàn phần chưa ly tâm ở nhiệt độ phòng. Giảm homocystine trong mẫu chậm khử tạp protein. Giảm homocysteine toàn phần (<1uM) trong thiếu hụt sulfite oxidase và cofactor molybdenum. Lưu ý: huyết tương phải khử protein ngay lập tức sau khi thu thập. |
Isoleucine | ● Tăng trong bệnh siro niệu (nước tiểu người bệnh có mùi thơm) ● Tăng trong nhịn đói 1-2 ngày. ● Tăng trong nước tiểu nhiễm phân |
Leucine | ● Tăng trong bệnh siro niệu ● Tăng trong nhịn đói 1-2 ngày. ● Tăng trong nước tiểu nhiễm phân. |
Lysine | Tăng trong bệnh tăng lysin máu gia đình và saccharopin niệu (tổn thương protein hai chức năng α-aminoadipic semialdehyde synthase). Tăng trong nước tiểu trong: ● Không dung nạp protein chứa lysin (Tăng acid amin dibase niệu type II, di truyền lặn do bất thường vận chuyển của lysin, arginine và ornithine) ● Tăng acid amin dibase niệu type I (Di truyền trội NST thường) ● Tăng lysine niệu đơn độc (Isolated lysinuria). ● Cystin niêu và argininemie |
Methionine | Tăng trong: ● Thiếu hụt methionine adenosyltransferase của gan (MAT) y (cùng với tăng methionine sulfoxide). ● Tyrosinemia type I (thiếu hụt fumarylacetoacetate hydrolase). ● Homocystine niệu do thiếu hụt cystathionine β-synthase. ● Tăng methionine máu tạm thời ở trẻ nhỏ. ● Trẻ nhỏ ăn thực phẩm có DL-methionine. ● Chỉ định 6-Azauridine triacetate (an anti-psoriatic). ● Tăng methionine máu không rõ cơ chế. |
1-Methylhistidine | Tăng trong nước tiểu sau khi ăn thịt, đặc biệt là gia cầm (- alanine, carnosine và anserine cũng tăng trong nước tiểu). |
Ornithine | Tăng trong: ● Làm teo màng mạch và võng mạc (thiế aminotransferase). ● Tăng ornithine máu- tăng ammoniac máu- chứng homocitrulline niệu. ● Điều trị Isoniazid (nhiễm lao). ● Huyết tán, huyết tương nhiễm tế bào máu do chuyển arginine thành ornithine bởi RBC arginase. Tăng trong nước tiểu trong: ● Cystine niệu. ● Chứng acid amin dibase niệu và không dung nạp protein chứa lysin. |
Phenylalanine | Tăng trong: ● Phenylketon niệu (PKU) và tăng phenylalanine máu do thiếu hụt tiên phát phenylalanine hydroxylase. ● Giảm tổng hợp hoặc tái sử dụng cofactor tetrahydrobiopterin (BH4). ● Tăng phenylalanine máu nhất thời ở trẻ sơ sinh. ● Tyrosinemia nhất thời ở trẻ sơ sinh. ● Sử dụng Paracetamol (một số sản phẩm có chứa phenylalanine hoặc tiền chất của nó aspartame). ● Bệnh gan Lưu ý: Sàng lọc PKU cần lấy mẫu 48 giờ sau sinh để trẻ có thể sử dụng protein 2 ngày. |
Phosphoethanol amine | ● Tăng trong nước tiểu trong hypophosphatasia (thiếu ALP isoenzymes không đặc hiệu mô) ● Giảm do thoái hoá thành ethanolamine tự phát hoặc do vi khuẩn. |
Saccharopine | Tăng trong saccharopin niệu và tăng lysin máu gia đình (rối loạn chuyển hoá lysine) |
Serine | Giảm trong thiếu hụt 3-phosphoglycerate dehydrogenase (rối loạn sinh tổng hợp serine). Glycine cũng có thể thấp. |
Taurine | ● Tăng trong nước tiểu trong thiếu molybdenum cofactor và thiếu sulfite oxidase đơn độc. ● Tăng trong nước tiểu trong bệnh tăng -alanine máu. ● Tăng trong thoái hoá cơ ● Tăng sau ăn tôm cua sò (shellfish) hoặc thực phẩm bổ sung taurine. ● Tăng trong huyết tán hoặc huyết tương nhiễm tế bào máu (leukocytes và platelets) |
Threonine | ● Tăng ở trẻ nhỏ ăn sữa công thức. ● Có thể tăng trong bệnh gan. ● Rối loạn chuyển hoá không đặc hiệu |
Tyrosine | Tăng trong ● Tyrosinemia nhất thời trẻ sơ sinh. ● Rối loạn nặng chức năng tế bào gan. ● Tyrosinemia type I (hepatorenal tyrosinemia), do thiếu fumarylacetoacetate hydrolase, tăng succinylacetone và - aminolevulinic acid. ● Tyrosinemia type II (Oculocutaneous tyrosinemia), do thiếu tyrosine aminotransferase. ● Tyrosinemia type III, do Thiếu 4-Hydroxyphenylpyruvate dioxygenase. ● Sau ăn ● Chảy máu do thiếu vitamin C (Scurvy). ● Cường giáp. |
Valine | ● Tăng trong bệnh siro niệu. ● Tăng valine máu (leucine và isoleucine không tăng) ● Nhịn đói 1-2 ngày. ● Tăng trong nước tiểu nhiễm phân. |
Acid amin trung tính | Tăng trong nước tiểu trong bệnh Hartnup (do tổn thương hệ thống vận chuyển acid amin trung tính. Acid amin trung tính glycine và cystine không tăng). |
Amino acid | Amino acid niệu toàn thể có thể do: ● Cystinosis (tích lũy cystine trong tiêu thể trong các mô khác nhau của cơ thể), nguyên nhân hay gặp nhất của hội chứng Fanconi di truyền thứ phát ở trẻ em. ● Galactosemia. ● Bệnh Wilson. ● Tyrosinemia type I. ● Không dung nạp fructose di truyền (Hereditary fructose intolerance). ● Bệnh dự trữ Glycogen type I. ● Hội chứng Lowe. ● Hội chứng Fanconi. ● Dinh dưỡng hoàn toàn ngoài đường tiêu hoá. ● Ngộ độc kim loại nặng (cadmium, uranium, mercury, chì và platinum). ● Tăng thoái giáng protein trong đói và bệnh. ● Hoại tử ống thận cấp. ● Rất nhiều thuốc (đặc biệt là kháng sinh). |
5. NHỮNG YẾU TỐ ẢNH HƯỞNG VÀ HƯỚNG XỬ TRÍ
Một số yếu tố nhiễu trình bày ở bảng trên. Có thể tóm tắt lại dưới đây:
5.1. Phân huỷ tự phát
a) Glutamine và asparagine không ổn định và thoái hoá từ từ tương ứng thành glutamic acid và aspartic acid.
b) Phosphoethanolamine thoái hoá thành ethanolamine (và phosphate).
5.2. Huyết tán hoặc huyết tương nhiễm tế bào máu
a) Giảm arginine và tăng ornithine.
b) Tăng aspartic acid, glutamic acid và glycine.
c) Tăng taurine do leukocytes và tiểu cầu.
5.3. Nhiễm khuẩn
a) Chuyển glutamine và asparagine thành glutamic acid và aspartic acid.
b) Trong nước tiểu, giảm glycine, alanine và nhiều acid amin khác có thể xảy ra do nhiễm khuẩn, nhưng glycine có thể tăng do phân huỷ hippuric acid bởi vi khuẩn.
c) Cystathionine có thể chuyển thành homocystine.
5.4. Nước tiểu nhiễm phân
Tăng rất cao glutamic acid và acid amin mạch nhánh (branched-chain amino acids).
5.5. Chậm khử protein
Giảm các acid amin chứa disulfide, chủ yếu cystine và homocystine. Các acid amin này thực hiện phản ứng trao đổi với các phân tử protein chứa nhóm sulfhydryl, dần dần gắn protein.
5.6. Ví dụ các yếu tố nhiễu trong thực phẩm và thuốc:
a) glycine và alanine cao khi dùng valproate.
b) beta-alanine (cả GABA và beta-aminoisobutyric acid) cao khi dùng gamma-vinyl-GABA (vigabatrin™).
c) Tăng acid amin máu/ nước tiểu trong ăn nhiều, đặc biệt khi chế độ ăn nhiều protein
d) Tăng bài tiết beta-alanine và 1-methylhistidine (cả carnosine và anserine) do ăn thịt, đặc biệt là thịt gia cầm.
e) Tăng bài tiết taurine sau ăn tôm cua sò.
f) Homocitrulline thường thấy trong nước tiểu trẻ em ăn sữa công thức
- Đăng nhập để gửi ý kiến